Weil Fahrerassistenzsysteme und andere Hochstromanwendungen immer häufiger zum Einsatz kommen, steigt die Rechenleistung der zugehörigen GPUs und ASICs erheblich an. Daher müssen Spannungsregler zum Einsatz kommen, die anspruchsvolle Lasten bewältigen können. Diese ziehen wiederum kleinere und schnellere Induktivitäten nach sich, um so aggressive Transienten zu ermöglichen.
Für ADAS und andere Hochstromanwendungen im Automobilbereich spielen Spannungsregler eine wichtige Rolle, die wiederum kleine und schnelle Induktivitäten benötigen.
(Bild: BMW)
ADAS-Anwendungen im Automobilbereich stehen vor der Herausforderung, die strengen Vorschriften für GPU- oder ASIC-Schienen im Bereich von 0,4 bis 1 V einzuhalten, insbesondere unter schnellen transienten Bedingungen. Eine Ladungstransiente bewirkt im Allgemeinen, dass alle Phasen die Schaltknoten VXauf VINhochschalten, sodass sich der Spulenstrom in jeder Phase mit einer Anstiegsrate (1) erhöht, wobei VIN die Eingangsspannung, Vo die Ausgangsspannung und L der Induktivitätswert ist. Eine Entladungstransiente führt in der Regel dazu, dass alle Phasen auf GND wechseln und der Spulenstrom abfällt (2). Bei einem niedrigen Ausgangsspannungswert VOUT < 1 V und einer typischen Eingangsspannung von 5 V oder sogar höher ist aus dem Vergleich der Gleichungen 1 und 2 leicht ersichtlich, dass die Entladungstransiente das Hauptproblem darstellt, weil nur eine geringe Spannung vorhanden ist, um den Strom abzusenken.
Bild 1: Mehrphasige Abwärtswandler mit (a) diskreten Spulen und (b) gekoppelten Spulen.
(Bild: Analog Devices)
Gleichung 1
(Bild: Analog Devices)
Gleichung 2
(Bild: Analog Devices)
Die einfache Lösung besteht darin, die Anzahl der keramischen Ausgangskondensatoren in COUT zu erhöhen. Die Größe und Kosten dieses Ansatzes können jedoch schnell unpraktisch werden. In der Automobilindustrie sind Spannungsregler häufig so konfiguriert, dass sie mit einer höheren Frequenz (FS) schalten, die in der Regel 2 MHz übersteigt. Das steht im Gegensatz zu Reglern in Cloud- oder Industrieanwendungen. Die höhere Schaltfrequenz ist im Automobilbereich aufgrund spezifischer Anforderungen an die elektromagnetischen Interferenzen (EMI) erforderlich. Diese Wahl trägt zwar dazu bei, die Induktivitätswerte im Regler zu verringern, es sind jedoch noch weitere Verbesserungen erforderlich.
Gleichung 3
(Bild: Analog Devices)
Gleichung 4
(Bild: Analog Devices)
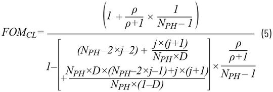
Die Stromwelligkeit in jeder Phase des konventionellen Abwärtswandlers mit DL ist in Gleichung 3 zu finden, wobei das Tastverhältnis D = VOUT/VIN ist; VOUT ist die Ausgangsspannung, VIN die Eingangsspannung, L der Induktivitätswert und FS die Schaltfrequenz. Ersetzt man DL durch CL, das eine Streuinduktivität LK und die Gegeninduktivität LM aufweist, kann die Stromwelligkeit in CL als Gleichung 4 dargestellt werden [6]. Der als Gütezahl (Figure of Merit, FOM) definierte Begriff wird als Gleichung 5 ausgedrückt, wobei NPH die Anzahl der gekoppelten Phasen ist, ρ ein Kopplungskoeffizient (Gleichung 6) und j ein Laufindex, der lediglich ein anwendbares Intervall des Tastverhältnisses definiert (Gleichung 7). Die Parameter des CL sind die Streuinduktivität LK und die Gegeninduktivität LM.
Gleichung 5
(Bild: Analog Devices)
Gleichung 6
(Bild: Analog Devices)
Gleichung 7
(Bild: Analog Devices)
Die Bedeutung von FOM in den Gleichungen 4 und 5 für das jeweilige CL-Design kann als zusätzlicher Multiplikator bei der Unterdrückung der Stromwelligkeit im Vergleich zum herkömmlichen Abwärtswandler mit diskreter Spule L interpretiert werden. Die Definition von FOM und ihre Bedeutung wurden auch verallgemeinert und erweitert [11], um beliebige Systeme mit willkürlichen Stromwelligkeits- und Transientenverhalten zu vergleichen. Der Vorschlag besteht darin, ein Verhältnis der normalisierten transienten Anstiegsraten – idealerweise hoch –zur normalisierten Stromwelligkeit –idealerweise niedrig – zu verwenden (Gleichung 8). Die transiente Anstiegsrate und die Stromwelligkeit werden durch zugehörige Zahlen für einige Vergleichswandler mit diskreten Spulen normalisiert, sodass jedes System mit DL weiterhin zu FOM = 1 führt. SRTR und ΔIL sind die transiente Stromanstiegsrate und die Stromwelligkeit im eingeschwungenen Zustand des gewählten Designs oder der ausgesuchten Technologie, während SRTR_DL und ΔILDL die gleichen Parameter sind, jedoch für das Benchmark-DL-Design.
Gleichung 8
(Bild: Analog Devices)
Gleichung 9
(Bild: Analog Devices)
Gleichung 8 kann zu Gleichung 9 vereinfacht werden, wenn man die Tatsache nutzt, dass die diskrete Spule im transienten und im eingeschwungenen Zustand die gleiche Stromanstiegsrate aufweist. Auf diese Weise wird jeder tatsächliche Bezug zum DL-Design vollständig entfernt, während die Benchmarking-Ideologie weiterhin vorhanden ist.
Man muss beachten, dass die verallgemeinerten FOM-Definition Gleichung 9 für den CL zu Gleichung 5 führt, sodass die neue Definition abwärtskompatibel ist, aber auch für Technologien zum Einsatz kommen kann, bei denen sowohl die Stromwelligkeit als auch die transiente Anstiegsrate beliebig von den DL-Gleichungen abweichen.
Stand: 08.12.2025
Es ist für uns eine Selbstverständlichkeit, dass wir verantwortungsvoll mit Ihren personenbezogenen Daten umgehen. Sofern wir personenbezogene Daten von Ihnen erheben, verarbeiten wir diese unter Beachtung der geltenden Datenschutzvorschriften. Detaillierte Informationen finden Sie in unserer Datenschutzerklärung.
Einwilligung in die Verwendung von Daten zu Werbezwecken
Ich bin damit einverstanden, dass die Vogel Communications Group GmbH & Co. KG, Max-Planckstr. 7-9, 97082 Würzburg einschließlich aller mit ihr im Sinne der §§ 15 ff. AktG verbundenen Unternehmen (im weiteren: Vogel Communications Group) meine E-Mail-Adresse für die Zusendung von redaktionellen Newslettern nutzt. Auflistungen der jeweils zugehörigen Unternehmen können hier abgerufen werden.
Der Newsletterinhalt erstreckt sich dabei auf Produkte und Dienstleistungen aller zuvor genannten Unternehmen, darunter beispielsweise Fachzeitschriften und Fachbücher, Veranstaltungen und Messen sowie veranstaltungsbezogene Produkte und Dienstleistungen, Print- und Digital-Mediaangebote und Services wie weitere (redaktionelle) Newsletter, Gewinnspiele, Lead-Kampagnen, Marktforschung im Online- und Offline-Bereich, fachspezifische Webportale und E-Learning-Angebote. Wenn auch meine persönliche Telefonnummer erhoben wurde, darf diese für die Unterbreitung von Angeboten der vorgenannten Produkte und Dienstleistungen der vorgenannten Unternehmen und Marktforschung genutzt werden.
Meine Einwilligung umfasst zudem die Verarbeitung meiner E-Mail-Adresse und Telefonnummer für den Datenabgleich zu Marketingzwecken mit ausgewählten Werbepartnern wie z.B. LinkedIN, Google und Meta. Hierfür darf die Vogel Communications Group die genannten Daten gehasht an Werbepartner übermitteln, die diese Daten dann nutzen, um feststellen zu können, ob ich ebenfalls Mitglied auf den besagten Werbepartnerportalen bin. Die Vogel Communications Group nutzt diese Funktion zu Zwecken des Retargeting (Upselling, Crossselling und Kundenbindung), der Generierung von sog. Lookalike Audiences zur Neukundengewinnung und als Ausschlussgrundlage für laufende Werbekampagnen. Weitere Informationen kann ich dem Abschnitt „Datenabgleich zu Marketingzwecken“ in der Datenschutzerklärung entnehmen.
Falls ich im Internet auf Portalen der Vogel Communications Group einschließlich deren mit ihr im Sinne der §§ 15 ff. AktG verbundenen Unternehmen geschützte Inhalte abrufe, muss ich mich mit weiteren Daten für den Zugang zu diesen Inhalten registrieren. Im Gegenzug für diesen gebührenlosen Zugang zu redaktionellen Inhalten dürfen meine Daten im Sinne dieser Einwilligung für die hier genannten Zwecke verwendet werden. Dies gilt nicht für den Datenabgleich zu Marketingzwecken.
Recht auf Widerruf
Mir ist bewusst, dass ich diese Einwilligung jederzeit für die Zukunft widerrufen kann. Durch meinen Widerruf wird die Rechtmäßigkeit der aufgrund meiner Einwilligung bis zum Widerruf erfolgten Verarbeitung nicht berührt. Um meinen Widerruf zu erklären, kann ich als eine Möglichkeit das unter https://contact.vogel.de abrufbare Kontaktformular nutzen. Sofern ich einzelne von mir abonnierte Newsletter nicht mehr erhalten möchte, kann ich darüber hinaus auch den am Ende eines Newsletters eingebundenen Abmeldelink anklicken. Weitere Informationen zu meinem Widerrufsrecht und dessen Ausübung sowie zu den Folgen meines Widerrufs finde ich in der Datenschutzerklärung, Abschnitt Redaktionelle Newsletter.
CL-Design und Überlegungen
Die Anwendungsspezifikationen sind VIN = 5 V, VOUT = 0,8 V, FS = 2,1 MHz und NPH = 8. Als Ausgangspunkt wird DL = 32 nH gewählt, um ein schnelles Einschwingen zu unterstützen, während jede Spule 4,2 mm × 4,2 mm × 4,2 mm einnimmt. Idealerweise würden diese durch eine achtphasige gekoppelte Spule ersetzt werden. Die erforderliche Höhe von h = 4 mm stellt jedoch eine Herausforderung dar, weil es nicht möglich wäre, ein so langes Bauteil mit dieser übermäßigen Dünne und Länge herzustellen; gleichzeitig würde die Empfindlichkeit gegenüber der Biegung der Platine steigen. Daher wurde der Vier-Phasen-Baustein für CL gewählt. Das ermöglicht auch eine bessere Flexibilität bei der Platzierung und Anordnung. Da ein schnelleres Einschwingen angestrebt wird und bekannt ist, dass der CL eine geringere Welligkeit aufweist als der Ausgangswert des DL, wurde die kürzlich eingeführte Notch-CL-Struktur (NCL) vorgeschlagen, um den Streuverlust LK zu minimieren [7,8,10] Der NCL0804 wurde mit LK ~17 nH und OCL = LM + LK = 100 nH, NPH = 4, Phasenabstand 6,9 mm pro Phase und einer max. Höhe h = 4,0 mm (Bild 2) entworfen.
Eine gute Möglichkeit, verschiedene Designs zu vergleichen, ist ein FOM-Plot [10]. Bei jedem DL-Design gilt FOM = 1, weil der Kompromiss zwischen den Stromanstiegsraten im eingeschwungenen und im transienten Zustand 1:1 beträgt. Die NCL-Struktur der gekoppelten Spule maximiert das LM/LK-Verhältnis in einer bestimmten Größe, sodass im Allgemeinen der höchste FOM erzielt wird [9] Der FOM-Vergleich ist in Bild 3 dargestellt, wo der entwickelte NCL bezüglich der angestrebten Ausgangsspannung ~4,4-mal besser ist als DL.
Bild 3: FOM für den entwickelten NCL = 4 × 17 nH und den theoretischen NCL = 8 × 17 nH als Funktion der Ausgangsspannung VOUT im Vergleich zur FOM eines beliebigen DL (VIN = 5 V).
Der entsprechende Vergleich der Stromwelligkeit ist in Bild 4 und Tabelle 1 zu sehen. Während der DL-Wert aus einem großen Bereich für einen anderen Kompromiss zwischen Stromwelligkeit und transienter Anstiegsrate gewählt werden kann, beträgt der Vorteil von entwickeltem NCL immer das 4,4-Fache. Das entspricht einer 2,35-mal kleineren Stromwelligkeit als die Welligkeit von DL = 32 nH, während NCL 1,88-mal schneller ist. Daraus folgt: 2,35 × 1,88 ergibt ungefähr 4,4, was dem vorhergesagten FOM = 4,4 entspricht.
Die Stromwelligkeit kann auch durch die Verwendung von DL = 100 nH erheblich gesenkt werden, wodurch die Stromwelligkeit 1,33-mal kleiner ist als die in NCL. Allerdings ist NCL 5,88-mal schneller, was zu dem gleichen 4,4-fachen Vorteil von NCL im Vergleich zu jedem DL führt (FOM = 4,4 für NCL).
Tabelle 1: Vergleich der verschiedenen magnetischen Optionen für den Vier-Phasen-Baustein
(Bild: Analog Devices)
Betrachtet man ein theoretisches FOM für denselben NCL in Bild 3, aber mit der Überlegung, ob NPH = 8 herstellbar ist: Der Leistungsvorteil von NCL im Vergleich zu DL würde sich von dem 4,4-Fachen auf das 5,8-Fache erhöhen und bei einer niedrigeren VOUT einen noch größeren relativen Unterschied machen.
Zukünftig könnte es sich lohnen, ein anderes Design für den NCL in Betracht zu ziehen. Eine Möglichkeit besteht darin, die Phasen in zwei Reihen anzuordnen, um ein niedriges Seitenverhältnis (Länge/Höhe) des Ferritkerns beizubehalten, was die Herstellung erleichtert. In diesem Szenario könnte der NCL möglicherweise am unteren Rand der Leiterplatte direkt über dem keramischen Bypass für die GPU positioniert werden, wobei die Leistungsstufen den NCL umgeben (Bild 5). Dieser Ansatz, der einer vertikalen Stromversorgungsanordnung (Vertical Power Delivery, VPD) ähnelt, könnte den Kompromiss zwischen Transienten und Welligkeit verbessern. Es ist jedoch unbedingt zu beachten, dass die Umsetzung einer solchen Änderung eine erhebliche Abweichung vom bestehenden Design und Layout darstellen würde. Ob dieser vorgeschlagene Ansatz also in Betracht gezogen wird, hängt von den Präferenzen der Anwender ab.
Bild 5: Der Vier-Phasen-Baustein des Spannungsreglers mit Spulengrundfläche, der (a) DL = 100 nH (h = max. 6,4 mm) und (b) NCL0804-4 (h = max. 4,0 mm) akzeptiert.
(Bild: Analog Devices)
Versuchsergebnisse
Der Ersatz der Spulen mit einem DL = 32 H durch NCL0804-4 führte zu einer verbesserten Effizienz, wie in Bild 6 dargestellt. Diese Verbesserung ist hauptsächlich auf die deutliche Reduzierung der Stromwelligkeit zurückzuführen, was in niedrigeren Effektivströmen in Wicklungen, Leistungsstufen und Leiterbahnen führt. Darüber hinaus trägt das zu geringeren Wechselstromverlusten bei.
Effizienzvergleich des DL = 32 nH (h = 4,4 mm), DL = 100 nH (h = 6,4 mm) und NCL = 4 × 17 nH (h = 4,0 mm): 5 V bis 0,8 V, vier Phasen.
(Bild: Analog Devices)
Gleichzeitig bietet der NCL mit 17 nH pro Phase eine ~1,9-mal schnellere Stromanstiegsrate bei Transienten und verbessert allgemein die Phasenreserve in der Rückkopplungsschleife. Durch die Reduzierung der Welligkeit mit DL = 100 nH (Bild 5a) wird die Effizienz wiederhergestellt (Bild 6), aber ein solcher DL ist deutlich größer als die zulässige Höhe von h = 4 mm und gleichzeitig ~5,9-mal langsamer als der entwickelte NCL. Letzteres würde extreme Auswirkungen auf die Anzahl der benötigten Ausgangskondensatoren haben. Die Ergebnisse bestätigen den grundlegenden Leistungsvorteil von NCL, wie er von den FOM-Schätzungen erwartet wurde, gegenüber den verschiedenen Kompromissoptionen des Ansatzes mit diskreten Spulen. (se)
Referenzen
[1] Aaron M. Schultz und Charles R. Sullivan. „Voltage Converter with Coupled Inductive Windings, and Associated Methods.“ U.S.-Patent 6,362,986, März 2001.
[3] Pit-Leong Wong, Peng Xu, P. Yang und Fred C. Lee. „Performance Improvements of Interleaving VRMs with Coupling Inductors.“ IEEE Transactions on Power Electronics, Bd. 16, Nr. 4, Juli 2001.
[4] Yan Dong. Investigation of Multiphase Coupled-Inductor Buck Converters in Point-of-Load Applications. Doktorarbeit, Virginia Polytechnic Institute and State University, Juli 2009.
[5] Alexandr Ikriannikov und Di Yao. „Addressing Core Loss in Coupled Inductors.“ Electronic Design News, Dezember 2016.
[6] Alexandr Ikriannikov. „Coupled Inductor Basics and Benefits.“ Analog Devices, Inc., 2021.
[7] Alexandr Ikriannikov und Di Yao. „Switching Power Converter Assemblies Including Coupled Inductors, and Associated Methods.“ U.S.-Patent 11869695B2, November 2020.
[8] Alexandr Ikriannikov. „Evolution and Comparison of Magnetics for the Multiphase DC-DC Applications.“ IEEE Applied Power Electronics Conference, März 2023.
[9] Amin Fard, Satya Naidu, Horthense Tamdem und Behzad Vafakhah. „Trans-inductors Versus Discrete Inductors in Multiphase Voltage Regulators: An Analytical and Experimental Comparative Study.“ IEEE Applied Power Electronics Conference, März 2023.
[10] Alexandr Ikriannikov und Di Yao. „Converters with Multiphase Magnetics: TLVR vs CL and the Novel Optimized Structure.“ PCIM Europe, Mai 2023.
[11] Alexandr Ikriannikov und Brad Xiao. „Generalized FOM for Multiphase Converters with Inductors.“ 2023 IEEE Energy Conversion Congress and Exposition, Oktober 2023.
* John Wallace arbeitet als Product Definer für Kfz-Stromversorgungs- und verwandte Produkte bei Analog Devices. Issac Siavashani ist Senior Application Engineer für das Automotive Business Team des Unternehmens. Alexandr Ikriannikov ist Mitglied des Communications and Cloud Power Teams beim Halbleiterhersteller.